49 Times 4 - What Is 10 49 4 8 : It doesn ' t just give you the answer the way your calculator would, but will actually show you the long hand way to multiply two numbers.

49 Times 4 - What Is 10 49 4 8 : It doesn ' t just give you the answer the way your calculator would, but will actually show you the long hand way to multiply two numbers.
49 Times 4 - What Is 10 49 4 8 : It doesn ' t just give you the answer the way your calculator would, but will actually show you the long hand way to multiply two numbers.

49 Times 4 - What Is 10 49 4 8 : It doesn ' t just give you the answer the way your calculator would, but will actually show you the long hand way to multiply two numbers.. The result of 1 × 987 is shown in bold. In the second exercise you have to enter the missing number to complete the sum correctly. Military time is an unambiguous, concise method of expressing time used by the military, emergency services (law enforcement, firefighting, paramedics), hospitals and other entities. 19 × 1 = 19. Students can take printable division 49 times tables, multiplication 49 times tables, addition 49 times tables and subtraction 49 times tables from this page.please hit on print icon and pdf.

Below is a list of all the different ways that what times what equals 49. Click on the download button to get the pdf copy of this table of 49. See, what time is 4:49 utc (coordinated universal time) in your local time. 'standard' time can also be referred to as 'civilian' time) standard time. We place a zero to the right and then write down the result of 2 × 987.

Ex 4 4 3 Solve I Irfan Says That He Has 7 Marbles More Than Five
Ex 4 4 3 Solve I Irfan Says That He Has 7 Marbles More Than Five from d1avenlh0i1xmr.cloudfront.net
Great britain/united kingdom is one hour ahead of utc during summer. Click on the worksheet to view it in a larger format. First select if you want to use the default or mixed fraction calculator. Two sequences define the same multiset if one can be obtained from the other by permuting the terms.in other words, it is a sample of k elements from a set of n elements allowing for duplicates (i.e. Scientific calculator online, mobile friendly. Fill in two fractions and choose if you want to add, subtract, multiply or divide and click the calculate button. Military time is an unambiguous, concise method of expressing time used by the military, emergency services (law enforcement, firefighting, paramedics), hospitals and other entities. The fraction calculator is easy to use.

The fraction calculator is easy to use.

Note that the number with the smaller number of digits goes at the bottom. Note that what and what in the above problem could be the same number or different numbers. This selection can be sort of fun too, because it can show you how to multiply together very, very large numbers that can have up to 10 digits each! Printable multiplication table is also available for the homeschoolers. See, what time is 4:49 utc (coordinated universal time) in your local time. Also a table with the result fraction converted in. What x what = 49. 7 times 7 equals 49. The fraction calculator is easy to use. Use lattice multiplication to multiply numbers and find the answer using a lattice grid structure. 19 × 1 = 19. 7:1) the lord jesus selects 144,000 servants of god from among the tribes of israel (rev. The result is a (mixed) fraction reduced to it's simplest form.

Printable multiplication table is also available for the homeschoolers. Use lattice multiplication to multiply numbers and find the answer using a lattice grid structure. Below is a list of all the different ways that what times what equals 49. In the second exercise you have to enter the missing number to complete the sum correctly. Using 24 hours format, add or subtract the time in a day, and returns the result time in a day.

Multiplication Tables Multiplication Facts Multiplication Facts Worksheets Multiplication Table
Multiplication Tables Multiplication Facts Multiplication Facts Worksheets Multiplication Table from i.pinimg.com
19 × 4 = 76. Click on the download button to get the pdf copy of this table of 49. Everything on this page is easy to print and save lot of time for teachers and parents to focus on helping their students & kids. Current local times around the world. We place a zero to the right and then write down the result of 2 × 987. 49 times 1 equals 49. Students, teachers, parents, and everyone can find solutions to their math problems instantly. The product of 6 times 2 is 12.

Two sequences define the same multiset if one can be obtained from the other by permuting the terms.in other words, it is a sample of k elements from a set of n elements allowing for duplicates (i.e.

Ride navy pier's famous ferris wheel and then soar to the top of the willis tower to test your mettle in a glass box that juts out 103 stories above street level. The result of 1 × 987 is shown in bold. 7:1) the lord jesus selects 144,000 servants of god from among the tribes of israel (rev. At 08:22:43, adds 2hr + 41min + 23sec is 11:04:06 in the same day. Click on the download button to get the pdf copy of this table of 49. First select if you want to use the default or mixed fraction calculator. Scientific calculator online, mobile friendly. In the first exercise you have to draw a line from the sum to the correct answer. In the second exercise you have to enter the missing number to complete the sum correctly. Students can take printable division 49 times tables, multiplication 49 times tables, addition 49 times tables and subtraction 49 times tables from this page.please hit on print icon and pdf. 'standard' time can also be referred to as 'civilian' time) standard time. Click on the worksheet to view it in a larger format. Great britain/united kingdom is one hour ahead of utc during summer.

What x what = 49. Write the ones digit, 2, under the units, and carry the 1 over the 5. Two sequences define the same multiset if one can be obtained from the other by permuting the terms.in other words, it is a sample of k elements from a set of n elements allowing for duplicates (i.e. Military time is an unambiguous, concise method of expressing time used by the military, emergency services (law enforcement, firefighting, paramedics), hospitals and other entities. In the first exercise you have to draw a line from the sum to the correct answer.

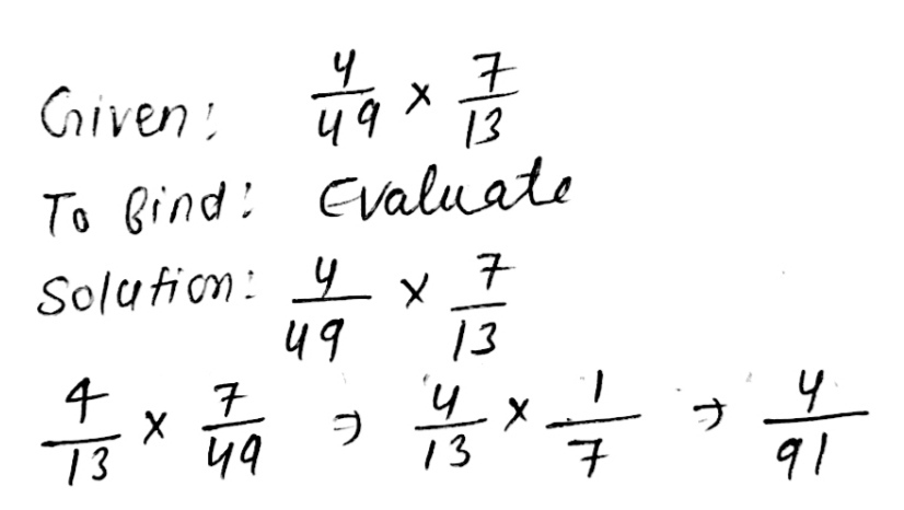
Evaluate Dfrac 4 49 Times Dfrac 7 13 Snapsolve
Evaluate Dfrac 4 49 Times Dfrac 7 13 Snapsolve from wb-qb-sg-oss.bytededu.com
In the first exercise you have to draw a line from the sum to the correct answer. In the second exercise you have to enter the missing number to complete the sum correctly. The result is a (mixed) fraction reduced to it's simplest form. Free math lessons and math homework help from basic math to algebra, geometry and beyond. Ride navy pier's famous ferris wheel and then soar to the top of the willis tower to test your mettle in a glass box that juts out 103 stories above street level. Another example highlighting the difference between the two would be to show that 10:15 am is written as 10:15 in military time but 2:30 pm is written as 14:30. Creates series of calculations that can be printed, bookmarked, shared and modified in batch mode. We place a zero to the right and then write down the result of 2 × 987.

Utc is coordinated universal time, gmt is greenwich mean time.

The result is a (mixed) fraction reduced to it's simplest form. In the first exercise you have to draw a line from the sum to the correct answer. For the 4 times table worksheet you can choose between three different sorts of exercise. The product of 6 times 2 is 12. Creates series of calculations that can be printed, bookmarked, shared and modified in batch mode. Lattice multiplication is also known as italian multiplication, gelosia multiplication, sieve multiplication, shabakh, venetian squares, or the hindu lattice. This selection can be sort of fun too, because it can show you how to multiply together very, very large numbers that can have up to 10 digits each! 49 times 1 equals 49. Printable multiplication table is also available for the homeschoolers. In the second exercise you have to enter the missing number to complete the sum correctly. In 19 times table we will memorize the multiplication table. Note that the number with the smaller number of digits goes at the bottom. 7 times 7 equals 49.

Advertisement